各位同仁:
因適逢春節期間財務作業不及,故一月份薪資改於
台灣聯通管理部啓
中 華 民 國 106 年 1月 16日
各位同仁:
紐崔萊心騎日 2017年1月8日交通管制時間及路線
影嚮時間為6:40~8:00左右
請當日上班同仁提前出門
影嚮路線如下:
凱達格蘭大道、中山南路口(起點) >中山南路(南北向)中間四線快車道>中山北路一至三段(南北向)中間四線快車道(忠孝西路至酒泉街)>中山北路三段(南往北)全線車道(酒泉街至中山橋)>新生北路三段(北往南)中山橋至濱江街全線>左轉濱江街>左轉基十疏散門>左轉大佳河濱公園>百齡左岸河濱公園>社子大橋牽引道至右岸>(往南湖橋方向)>百齡右岸河濱公園>圓山河濱公園>美堤河濱公園>彩虹河濱公園>成美右岸河濱公園>上成功橋牽引道至右岸>成美左岸河濱公園>觀山河濱公園>迎風河濱公園>大佳河濱公園-行動巨蛋廣場(終點)

總統府前凱達格蘭大道(起點)>中山南路>中山北路>新生北路>左轉濱江街>左轉基十號林安泰疏散門>大佳河濱公園>進入行動巨蛋廣場(終點)。

台灣聯通管理部啓
中 華 民 國 106 年 1月 5 日
近期新光保全及華辰保全會陸續和現場同仁聯絡撤除保全事宜,請現場同仁注意下列事項:
(1) 保全設備原本如果是固定在我們公司的機器上,保全拆除後會有洞,要請保全用矽
力康將洞填補(不然下雨水會流到設備裡面,會造成機器損壞)。
Ps.如果保全沒有將洞填補,煩請跟公司杜小姐回報,分機135。
(2) 保全拆除完成後,也請跟
(3) 新光保全和華辰保全磁扣需繳回公司,給
(4)中興保全目前仍配合中,現場同仁還是要正常設定~
台灣聯通管理部啓
中 華 民 國 106 年 1月 4 日
各位同仁:
中國信託鼎極卡自106年1月1日起更改為消費金額需滿2萬才有免費停車3小時。
麻煩大家於海報上做修改必免後續不避要的客訴
謝謝大家!
台灣聯通管理部啓
中華民國106年 1 月3日
|
在這特別的1月裡,因為有你/妳 |
|
變的更加重要!在此,我們要獻上大大的祝福 |

|
106年1月壽星 |
|||
|
公司 |
毛彧宸 |
晶華酒店 |
曹百壽 |
|
公司 |
陳宥群 |
大新竹 |
李政翰 |
|
公司 |
鄭卉捷 |
天津 |
錢有為 |
|
行天宮 |
陳鴻銘 |
國泰汐止 |
闕河庭 |
|
國賓 |
徐傳國 |
中山北 |
江元志 |
|
福安 |
張歐俊 |
國賓 |
江家宇 |
|
統領 |
何軍興 |
大湳 |
許詠隆 |
|
杭州 |
林旭強 |
監理站 |
孔志揚 |
|
新莊中正 |
尤素玉 |
四川路 |
李漢珅 |
|
敦南 |
許志成 |
宜蘭礁溪 |
蘇忠祐 |
|
青海 |
蔡奇穎 |
將捷一 |
張安妮 |
|
太原 |
王仁暉 |
遠東 |
簡昱峰 |
|
南三 |
史博文 |
北科大 |
鳳子傑 |
|
八德 |
李麗惠 |
|
|
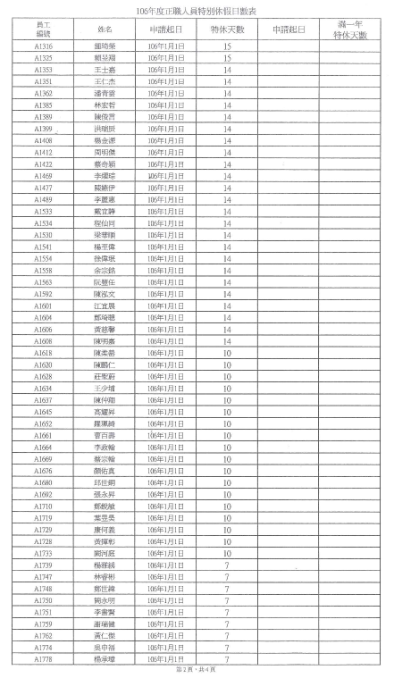
又到歲末年終之際,感謝大家這一年的努力!為讓大家在忙碌之餘能安排時間自我充電及陪伴親友,106年特別休假計算方式如下:
年資滿半年以上未滿1年者3日;
年資1年以上未滿2年者7日;
年資2年以上未滿3年者10日;
年資3年以上未滿5年者14日;
年資5年以上未滿10年者15日;
年資10年以上者,將隨年資之增加,每年增加1日,最高加至30日為止。
每位同仁特別休假日數如附件所示:





(一)以上特休日數依“年度”作為計算結點,亦即到職滿1年之後,看距離年底還有幾個月,再以比例給予特休假。
(二)員工若欲排特休或請事假,請於一星期前提出申請,並填妥請假單經單位主管簽核同意,始可生效;無特殊狀況臨時通知及遲到、早退欲請特休者一律不准假並以曠職懲處。
(三)請特休假均依“日”為單位計算。
(四)同仁106年度特休未休完,將於年度終結時發放不休假獎金。

台灣聯通管理部啓
中華民國105年 12 月30日
(一)同仁106年1~2月合計共有4天春節假期,自1/27~2/3合計8天內採二梯次輪休:
第一梯次為1/27-1/30共4天
第二梯次為1/31-2/03共4天
相關排班問題,請洽所屬主管或客服部助理。
(二)1/27~1/30(除夕~初三)四日薪資將加倍發給,即出勤每小時除原有薪資,再加給135元以慰勞出勤同仁辛勞。
(三) 春節未休完假期於2月底結算,並於
過年期間大多數場地,都還是有營業的,也希望大家能共同協助。
台灣聯通管理部啓
中華民國105年 12 月30日

台灣聯通管理部啓
中華民國105年 12 月30日
為感謝現場每位同仁為公司持續的貢獻並希望大家再接再厲,在未來的道路上能與公司
共同成長,正職人員於

台灣聯通管理部啓
中華民國105年 12 月30日
各位同仁:
富邦銀行自106年1月1日起紅利扣抵的部份
更改為每2小時抵扣1200點
免費時數更改為3小時(尊御世界卡/世界卡/無限卡)
麻煩大家於海報上做修改必免後續不避要的客訴
謝謝大家!
台灣聯通管理部啓
中華民國105年 12 月29 日